Appearance
83.删除排序链表中的重复元素
题目
给定一个已排序的链表的头 head , 删除所有重复的元素,使每个元素只出现一次 。返回 已排序的链表 。
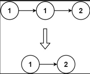
示例一

ts
输入:head = [1,1,2]
输出:[1,2]
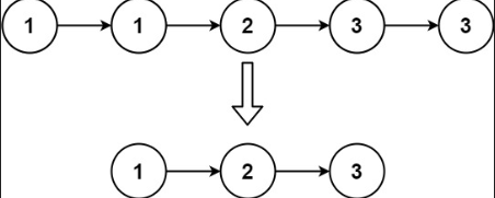
示例二

ts
输入:head = [1,1,2,3,3]
输出:[1,2,3]
思路分析
首先这是一道链表的题目,需要返回一个全新的并且不重复的链表。那么肯定需要保存一个新的链表。在保存新的链表之前,需要对传入的链表进行操作。
编码
ts
/*
* @lc app=leetcode.cn id=83 lang=typescript
*
* [83] 删除排序链表中的重复元素
*/
// @lc code=start
/**
* Definition for singly-linked list.
* class ListNode {
* val: number
* next: ListNode | null
* constructor(val?: number, next?: ListNode | null) {
* this.val = (val===undefined ? 0 : val)
* this.next = (next===undefined ? null : next)
* }
* }
*/
function deleteDuplicates(head: ListNode | null): ListNode | null {
if (head === null || head.next === null) return head;
let dmy: ListNode = new ListNode(-1, head);
let curr: ListNode = dmy.next;
while (curr && curr.next) {
if (curr.val === curr.next.val) {
curr.next = curr.next.next;
} else {
curr = curr.next;
}
}
return dmy.next;
};